28 lipiec 2022
Detekcja relatywistycznych fermionów Weyla w semimetalicznym TaAs poprzez pomiary magnetostrykcji
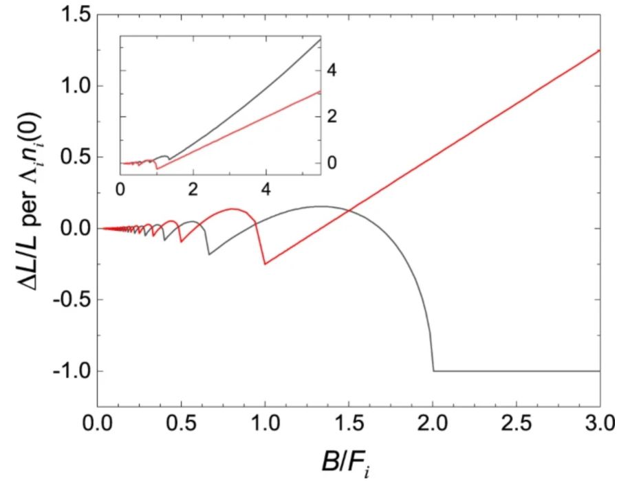
Nature Communications volume 13, Article number: 3868 (2022) OPUS 11 NCN-2016/21/B/ST3/02361(2017) T. Cichorek, Ł. Bochenek, J. Juraszek, Yu. V. Sharlai, G. P. ...